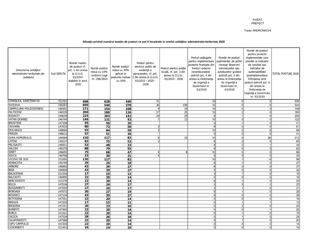
Implementarea prevederilor Ordonanței de Urgență numărul 7 din 2026 aduce schimbări majore în structura administrativă a județului Suceava, impunând o reducere semnificativă a numărului de posturi. Procesul de reorganizare, fundamentat pe necesitatea eficientizării cheltuielilor publice, a condus la diminuarea plafonului maxim de posturi de la 5.102, nivel stabilit în anul 2025, la un număr de 3.571 de posturi pentru anul 2026. Această transformare reflectă o scădere de 1.531 de posturi la nivelul aparatului de specialitate al primăriilor și al Consiliului Județean.
Un aspect esențial în aplicarea acestor reduceri este mecanismul de protecție a personalului deja angajat. Deși cadrul legal prevede o reducere teoretică de 30% aplicată asupra numărului total de posturi, legea instituie o limită de siguranță: impactul asupra posturilor efectiv ocupate nu poate depăși pragul de 20%. De exemplu, la o instituție cu 50 de posturi prevăzute, dintre care 40 sunt ocupate, reducerea teoretică de 15 posturi este limitată în realitate la maximum 8 posturi ocupate, protejând astfel stabilitatea angajaților și prevenind concedierile masive.
Procesul de reorganizare trebuie finalizat până la data de 1 iulie 2026, însă autoritățile locale au obligații imediate. Consiliile locale și județene trebuie să adopte hotărârile privind noul număr de posturi până la data de 15 aprilie 2026. O noutate procedurală importantă este obligativitatea întocmirii unei Note justificative detaliate, care să prezinte evaluarea impactului financiar al măsurilor propuse. În sprijinul unităților administrativ-teritoriale, Instituția Prefectului a oferit deja consultanță pentru 56 de primării, abordând individual provocările juridice ale fiecărei localități.
Pentru anul 2026, ordonatorul de credite poate propune o măsură alternativă la desființarea imediată a posturilor, respectiv reducerea cheltuielilor de personal. Această variantă presupune diminuarea bugetului de salarii cu o sumă echivalentă costului posturilor ce ar fi trebuit eliminate, oferind o perioadă de tranziție până în anul 2027, când desființarea posturilor devine obligatorie. Localități precum Siret și Șaru Dornei analizează deja această posibilitate pentru a menține echilibrul serviciilor publice.
O altă direcție de modernizare a administrației este introducerea posibilității de ocupare a funcțiilor publice în regim part-time. Posturile pot fi transformate pentru a funcționa cu jumătate de normă, iar funcționarii pot ocupa două astfel de posturi, chiar și în instituții diferite, dacă atribuțiile sunt similare. Această flexibilitate urmărește adaptarea resurselor umane la nevoile reale ale comunității, fără a compromite calitatea actului administrativ.
În prezent, sunt așteptate clarificări oficiale de la Ministerul Dezvoltării privind regimul anumitor categorii de personal. Se analizează dacă structurile de asistență socială sau compartimentele de cultură care nu au personalitate juridică proprie sunt exceptate de la plafonul maxim de posturi. Aceste precizări sunt vitale pentru aplicarea unitară a legii în tot județul, obiectivul final fiind o administrație mai suplă, mai responsabilă și mai eficientă în raport cu cetățeanul.




